Solicitud de autorización y registro de transporte y/o transportistas para el transporte de animales vivos en la Comunidad Autónoma de Extremadura. Agricultura y ganadería Infraestructuras y transporte Sanidad animal Gestión ganadera Medios de transporte. En plazo permanente. Fecha de actualización. :. No se brindará servicio extraordinario para la inspección de animales vivos con excepción de aeropuertos, puertos y frontera sur (Véase "Criterios. procedimiento desembarque de animales. 8. El transporte debe presentarse limpio, sin restos de heno, paja, excremento, suelo, cama, alimentos y materiales similares que acompañen a los.

ANAC CURSO Transporte de Animales Vivos por Vía Aérea

TRANSPORTES LUIS VEDIA Documentación
Transportando animales vivos febrero 2015

BIENESTAR ANIMAL EN EL TRANSPORTE Autoescuela Riders

CERTIFICADO VETERINARIO DE SALUD ARYA
Solicitação Guia de Trânsito Animal Outras Especies MT PDF Tráfego

CERTIFICADO PARA TRANSPORTE DE ANIMALES DE APOYO EMOCIONAL PARA VI...

certificado veterinario de exportación

Decreto n.º 57/2015, de 24 de abril, por el que se regula el movimiento

EURLex 32005R0001 EN EURLex

Nueva investigación de OA Transporte de animales vivos en el Perú 🐖🚚
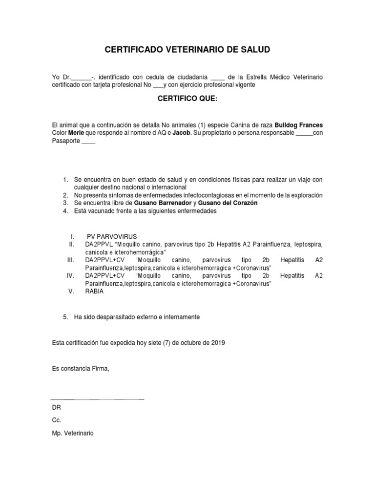
Certificado Veterinario de Salud

Decreto 287/2010, de 11 de mayo, por el que se crea el registro de

Transporte de Animales Vivos. Casa de Aduanas Mendoza Agencia Aduanal

Decreto n.º 57/2015, de 24 de abril, por el que se regula el movimiento

(PDF) AUTORIZACIÓN PARA EL TRANSPORTE DE MASCOTAS (PERROS Y GATOS) EN

Certificado para Transporte de Animales de Apoyo Emocional Anima...

Transporte Animales vivos Industrias Saludes

Decreto 287/2010, de 11 de mayo, por el que se crea el registro de

Curso Certificado obligatorio para el transporte de animales Cursos y
Describir los requisitos reglamentarios, las consideraciones de bienestar y los desafíos de la industria del transporte de animales vivos.. Se otorga un Certificado IATA de Finalización a los participantes que obtengan una nota de 70% o más en todos los ejercicios y exámenes. Se otorga una distinción especial a los participantes que.. El transporte de animales vivos es una actividad compleja, tanto desde el punto de vista técnico y logístico como del administrativo. Por una parte, intervienen un gran número de operadores, que con frecuencia son empresas de pequeño tamaño, pero también pueden ser grandes corporaciones de características muy distintas entre sí.