How long doxycycline takes to work depends on what you're treating and what your symptoms are. Symptoms like fever may improve within 1 to 2 days. But it may take 1 to 2 weeks (or longer) to fully treat your infection. For acne or rosacea, it may take months to see full benefits. Doxycycline is often taken twice a day.. How long does the treatment take? Azzalure is a quick and convenient treatment, suitable for mild to moderate to severe wrinkles. It only takes 15-30 minutes to complete. There is no downtime or recovery time. You can resume all normal activities right away. Therefore, it's possible to book an Azzalure treatment during your lunch hour.

The Dangers Of Gun Violence In The United States Davidazizipersonalinjury

Azzalure Consent Form by Faces Consent Etsy

Botox Lip Flip How Many Units

Chicken How long does it keep cooked in the fridge? World Today News

Guide Admissonsly

How Long Does Dysport Take To Work HOWTOTB

Buy Azzalure (2x125iu) Online Order Azzalure (2x125iu) online Azzalure (2x125iu) for sale

Buy Azzalure botox 1x125iu Injection Online Pharmoo World

How Long Does NSFAS Take To Respond To Appeal? 2023

How Long Does it Take to Make Money on YouTube? A Realistic Timeline StrongMocha

How Long Does It Take To A Certified Doula Reverasite

Azzalure® MedsGo
/3ds-xl-battery-life-1126266_final_newlogo-a6b8ec7eb3ff45b0ad1770ca963c8a6f.gif)
planen Tahiti Ballaststoff new 3ds xl battery capacity Ausfall Wortlaut Schmetterling

ITIL How Long Does It Take? ITSM Docs ITSM Documents & Templates

Are bridges a factor in Invisalign treatment? Brock Street Dental Practice

How Long DOes it Take Google Ads to Work? ThinkPod Agency

How Long Does it Take to Work?

Azzalure 2x125iu Teleta Pharma

AZZALURE (2x125IU ) Buy Dermal Fillers Online USA. Buy Azzalure USA

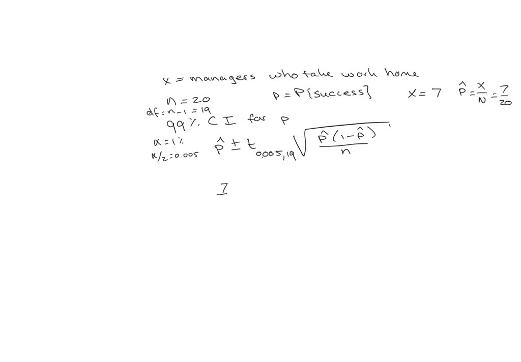
SOLVEDA random sample of 20 managers was taken, and they were asked whether or not they usually
receive treatment with Azzalure®. This leaflet explains more about the injections, what to expect and things to avoid in the first few weeks after treatment. Seeing the benefits Azzalure® normally takes an average of 2 to 3 days1 to start working as seen in glabellar lines, although it may take a little longer for the full effects to be seen.. It takes oral forms of Abilify about 1 to 2 weeks to start working. But it may take 2 to 3 months to experience its full effects. Most people take Abilify long term to help manage symptoms. While it's safe to take long term, it can cause side effects.